Abstract
Fecal microbiota transplantation (FMT) has become an effective strategy to treat metabolic diseases, including type 2 diabetes mellitus (T2DM). We previously reported that the intestinal microbiome had significant difference between individuals with normal glucose tolerance and T2DM in Chinese Kazak ethnic group. In this study, we investigated the effects of transplanted fecal bacteria from Kazaks with normal glucose tolerance (KNGT) in db/db mice. The mice were treated with 0 VSports最新版本. 2 mL of fecal bacteria solution from KNGT daily for 10 weeks. We showed that the fecal bacteria from KNGT successfully colonized in the intestinal tract of db/db mice detected on day 14. In the FMT-treated db/db mice, the levels of fasting blood glucose, postprandial glucose, total cholesterol, triglyceride, and low-density lipoprotein–cholesterol were significantly downregulated, whereas high-density lipoprotein–cholesterol levels were upregulated. In the FMT-treated db/db mice, Desulfovibrio and Clostridium coccoides levels in gut were significantly decreased, but the fecal levels of Akkermansia muciniphila and colon histone deacetylase-3 (HDAC3) protein expression were increased. At 8 weeks, both intestinal target bacteria and HDAC3 were correlated with glycolipid levels; Akkermansia muciniphila level was positively correlated with HDAC3 protein expression (r = +0. 620, P = 0. 037). Our results suggest that fecal bacteria from KNGT could potentially be used to treat diabetic patients.
Keywords: fecal microbial transplantation, Chinese Kazak ethnic group, metabolic diseases, db/db mice, intestinal microbiome, Desulfovibrio, Clostridium coccoides, Akkermansia muciniphila, colon histone deacetylase-3
"V体育安卓版" Introduction
The prevalence of diabetes mellitus has increased dramatically worldwide over the past 2 decades VSports注册入口. According to the International Diabetes Federation [1], there were 415 million diabetic patients between the ages of 20 and 79 years in 2015, and it is estimated that this number will increase to 642 million by 2040. China has the highest number of patients with diabetes, estimated at 109. 6 million [1], and over 90% have type 2 diabetes mellitus (T2DM) [2, 3].
T2DM is characterized by glycolipid metabolism disorders and is caused by both genetic and environmental factors V体育官网入口. In our previous study, we found a significant difference in the composition and proportion of the intestinal microbiome between individuals with T2DM and those with normal glucose tolerance (NGT) [4]. It has also been shown that fecal bacteria from T2DM patients can induce abnormal glucose and lipid metabolism in mice [5].
Intestinal microbial metagenomics analysis has shown that T2DM patients have more opportunistic pathogens in their intestinal tracts compared with those of healthy individuals [6]. Previous studies by our group showed that the fecal levels of Clostridium coccoides from diabetic mice were significantly higher than the levels in normal control mice VSports在线直播. We also found a positive correlation with fasting blood glucose (FBG) levels [7]. Another study reported that an increase in Desulfovibrio in the intestinal tract can promote the development of diabetes, while Akkermansia muciniphila has antidiabetic effects [8].
The colon has the largest distribution of intestinal flora. Intestinal microbiota modulate metabolism and associate closely with epithelial cells in the intestine. Epithelial expression of histone deacetylase-3 (HDAC3) plays a critical role in integrating microbiota-derived signals to maintain intestinal homeostasis [9]. For example, A. muciniphila can epigenetically activate or silence genes involved in host lipid metabolism, leading to a significant decrease in the expression of G-protein-coupled receptor 43 (Gpr43) and peroxisome proliferator-activated receptor (Ppar) and increased expression of HDAC3 and histone deacetylase-5 (HDAC5) [10] V体育2025版. Local tissue depletion of HDAC3 can cause severe systemic insulin resistance in mice [11].
Fecal microbiota transplantation (FMT) is a procedure in which stool from a healthy donor is transferred into another patient’s intestinal tract. This procedure can reverse intestinal microbiome dysbiosis in the recipient [12]. FMT has been used to treat intestinal infections and metabolic diseases because the transplanted microbiota can rebuild the recipient’s intestinal microbial ecosystem [13]. Recently, FMT has been proven to be a safe and effective method for treating and preventing the recurrence of gastrointestinal disorders [14]. In addition, FMT from lean donors can increase intestinal microbial diversity and improve insulin sensitivity in patients suffering from metabolic syndrome [15]. Although FMT has been successful in human studies [15], the molecular mechanism underlying FMT’s therapeutic benefits is not well understood. In this study, we used a combination of human fecal bacteria (as the donor) and an animal model (db/db mice as recipients) to investigate the mechanism of FMT. Specifically, we transplanted fecal bacteria from individuals in the Chinese Kazak ethnic group with NGT (KNGT) into db/db mice to investigate whether FMT confers protection. The db/db mouse is a common mouse model of diabetic dyslipidemia. Our goal was to determine the feasibility and potential mechanism of FMT for T2DM treatment VSports.
"V体育2025版" Materials and methods
Ethics statement
The use of human subjects and the db/db mouse model were approved by the Ethics Committee of the First Affiliated Hospital of Xinjiang Medical University (Urumqi, China; approval No: 20130216-141) VSports app下载. All participants provided written consent prior to the study.
Criteria for NGT
NGT was determined according to the diagnostic criteria for diabetes established by the American Diabetes Association (2005) [16] and the recommendations of the Diabetes Society of the Chinese Medical Association [17]. Subjects with NGT were determined by measuring fingertip glucose levels: FBG < 5 V体育官网. 6 mmol/L (100 mg/dL), and 2-h oral glucose tolerance test (2h-OGTT) < 7. 8 mmol/L (140 mg/dL).
Inclusion and exclusion criteria for donors
Stool samples were collected from healthy individuals from Chinese Kazaks, a Chinese minority ethnic group. The inclusion and exclusion criteria for donors were based on previous publications [18–22]. The inclusion criteria were as follows: (1) age 20–40 years old with NGT and normal body mass indax (18.5–24.9 kg/m2) [23]; (2) individuals descended from at least three generations of lineal relatives of Kazak ethnicity; (3) residents of the same areas for >10 years; (4) long-term healthy lifestyle, including good eating habits and regular bowel evacuation habits; (5) healthy mental state; (6) no chronic diseases, such as constipation or diarrhea, irritable bowel syndrome, inflammatory bowel disease, autoimmune diseases, or malignant diseases; (7) no family history of diseases, including diabetes, obesity, high blood pressure, hepatitis, etc., among family members in the same household; (8) had not taken antibiotics, probiotics, or any other medication for 3 months. The exclusion criteria, included (1) pregnant or lactating; (2) history of mental illness or substance abuse; (3) undergone surgery or presented other emergency conditions; (4) obvious impairment of liver and kidney function, diarrhea, biliary tract infection history, enteritis or other gastrointestinal diseases, or blood system or other endocrine system disease; (5) history of insulin treatment or ketoacidosis; and (6) diagnosed with type 1 or type 2 diabetes or a special type of diabetes, such as gestational diabetes mellitus.
Preparation of donor fecal fluid
Based on the inclusion and exclusion criteria for donors, one healthy individual from the Kazak ethnic group with NGT was selected as the fecal donor. Fresh feces from this donor were collected in the morning and sealed in aseptic containers and quickly transferred to aseptic biosafety cabinets on ice. Approximately, 50 g of fecal material was placed into sterile tubes and homogenized in 250 mL of sterile normal saline. The slurry was passed through 2.0-, 1.0-, 0.5-, and 0.25-mm stainless-steel filters to remove undigested food and small particulate matter. The fecal liquid that was passed through the 0.25-mm sieve was centrifuged at 6000 × g for 15 min and then resuspended in 125 mL of sterile normal saline [24]. Finally, the fecal bacteria slurry was diluted with 0.1 M phosphate-buffered saline (PBS) (pH 7.2) containing 10% sterile medical glycerin. The resulting fecal bacteria liquid was aliquoted into 5-mL sterilizing cryopreservation tubes and preserved at −80 °C.
Animal groups and sample collection
Eight-week-old male db/db and db/m mice were purchased from Changzhou Kavins Experimental Animal Co., Ltd. (Changzhou, China). Mice were housed in an specific pathogen-free environment at 21 ± 2 °C and 45% ± 5% humidity and maintained on a light/dark cycle for 12/12 h. A total of 15 db/m mice and 27 db/db mice were used in the study. After 1 week of adaptive feeding, three db/m mice and three db/db mice were killed at week 0. The remaining mice were divided into three groups: one group of db/m + PBS (12 mice in total) (PBS was used to dissolve fecal bacteria from KNGT) and two groups of db/db mice. The db/db groups were randomly divided into the db/db + PBS group (control) (12 mice in total) and the db/db + KNGT group (12 mice in total) (db/db mice treated with fecal bacteria from the same KNGT person throughout intervention). Mice were treated with either 0.2 mL of PBS or 0.2 mL of fecal solution daily. Blood and fecal samples were collected at five time points (0, 4, 6, 8, and 10 weeks). To measure metabolic parameters during animal experiments, ~10 μL of blood was collected from each mouse, and the blood was added to 90 μL of an anticoagulant (the anticoagulant was prepared by adding 0.1 g of sodium fluoride to 0.9% sodium chloride solution) and centrifuged at 10 500 × g for 1 min. Feces were collected and placed in sterilized cryopreservation tubes and then stored at −80 °C. Three mice randomly selected from each group were anesthetized with sodium pentobarbital (35 mg/kg body weight) and killed at the 0- and 8-week time points. Colonic tissue samples were collected into cryotubes and stored at −80 °C.
"VSports app下载" Detection of bacterial colonization in mice
Frozen fecal bacteria solutions were thawed for 2–4 h in an ice bath prior to FMT. The fecal bacteria solution was then stained with 10 µg/mL CM-DiI fluorescent dye (Thermo Fisher Scientific, Waltham, MA, USA) for 30 min at 37 °C. Each db/db + KNGT mouse was gavaged with 0.2 mL of the stained fecal bacteria solution [25]. Mice gavaged with the same amount of PBS were used as controls. Fresh feces of treated and control mice were collected in sterile tubes on days 3, 7, and 14, respectively, after intragastric administration. The feces were examined by using an Olympus IX73 microscope (Olympus, Tokyo, Japan). Detection of fluorescent signals in the fecal bacteria solution of db/db + KNGT mice on day 14 confirmed successful colonization of KNGT fecal bacteria in the db/db mice.
Plasma glycolipid analysis (V体育ios版)
FBG and postprandial glucose (PPG) were measured by using the glucose oxidase method [26]. Total cholesterol (TC) and triglyceride (TG) levels were analyzed by using COD-PAP and GPO-PAP (Biosino Biotechnology Co., Ltd., Beijing, China) according to the manufacturer’s instructions. Plasma levels of high-density lipoprotein–cholesterol (HDL–c) and low-density lipoprotein–cholesterol (LDL–c) were determined by using enzyme-linked immunosorbent assay (ELISA) kits (SenBeiJia Biological Technology Co., Ltd., Nanjing, China) according to the manufacturer’s instructions.
"V体育官网入口" Intestinal microbiome analysis
Extraction of bacterial total DNA
Approximately, 0.2 g (range 0.18–0.22 g) of mouse fecal samples were placed in a 2-mL collection tube. Total DNA was extracted by using a DNA extraction kit (Qiagen, Germany). The absorbance at A260/A280 was measured by using a spectrophotometer to determine the concentration and purity of the extracted DNA.
High-throughput Illumina sequencing of the V4 variable region of 16S rRNA
The extracted DNA samples were amplified by using a set of universal primers targeting the hypervariable V4 region of 16S rRNA. The forward primer was 5′-AYTGGGYDTAAAGNG-3′, and the reverse primer was 5′-TACNVGGGTATCTAATCC-3′ [27]. To distinguish samples, seven nucleotide sequence tags were randomly added to the forward sequence of the universal primer to form a barcoded fusion primer for polymerase chain reaction (PCR) amplification. The gene bank was constructed according to standard protocols. The Illumina MiSeq sequencing platform and the PE250 sequencing strategy were used for sequencing.
Real-time PCR of intestinal target bacteria
The hypervariable regions of the target bacteria 16S rRNA were amplified by using specific primers and a thermocycler PCR system (GeneAmp 9700, ABI, USA). The PCR products were extracted from a 2% agarose gel and further purified by using the AxyPrep DNA Gel Extraction Kit and used as standard material for real-time PCR (RT-PCR). RT-PCR reactions were conducted by using the SYBR® Premix EX Taq II kit (TaKaRa, Dalian, China). RT-PCR reactions were performed in triplicate in a 25-μL mixture containing 1 µL of each primer, 12.5 µL of Taq DNA polymerase, 8.5 µL of nuclease-free water, and 50 ng of template DNA. The PCR products were amplified by the specific primers of the target bacteria (Table 1).
Table 1.
Real-time PCR primers of intestinal target bacteria.
| Intestinal bacteria real-time PCR system | ||||
|---|---|---|---|---|
| Target bacteria | Target gene | Amplicon length (bp) | Primer sequences (5′–3′) | Tm (°C) |
| (F, forward; R, reverse) | ||||
| Desulfovibrio [40] | 16S rRNA | 135 | F: CCGTAGATATCTGGAGGAACATCAG | 55 |
| R: ACATCTAGCATCCATCGTTTACAGC | ||||
| Clostridium coccoides [33] | 16S rRNA | 440 | F: AAATGACGGTACCTGACTAA | 55 |
| R: CTTTGAGTTTCATTCTTGCGAA | ||||
| Akkermansia muciniphila [41] | 16S rRNA | 280 | F: AGAGGTCTCAAGCGTTGTTCGGAA | 58 |
| R: TTTCGCTCCCCTGGCCTTCGTGC | ||||
Western blot analysis
Total proteins were extracted from mouse colon tissue cells by using RIPA lysis buffer. Protein concentrations were determined by using the bicinchoninic acid assay. Protein lysates were subjected to sodium dodecyl sulfate polyacrylamide gel electrophoresis (10% acrylamide) and transferred onto polyvinylidene fluoride membranes. The membranes were blocked with 5% nonfat milk for 2 h at room temperature and washed three times with washing buffer (1 × Tris-buffered saline with Tween 20). Membranes were incubated with anti-HDAC3 (Affinity, cat. No. Ab-AF0733) diluted 1:1000 at 4 °C overnight, followed by incubation with anti-rabbit horseradish peroxidase-conjugated IgG (Bioss, cat. No. bs-0295G) at room temperature for 1 h. The light intensities of the protein band signals relative to those of the actin signal were calculated by using ImageJ analysis software.
Statistical analysis
Data were analyzed by using SPSS 19.0 statistical software (SPSS, Inc., Chicago, IL, USA). Parameter differences among the three groups (db/m + PBS, db/db + PBS, and db/db + KNGT) were evaluated by using one-way ANOVA for normally distributed variables and the Kruskal–Wallis test for non-normally distributed variables. All values are expressed as the means ± standard deviation. Pearson’s correlation coefficient was used to evaluate associations between variables. P values < 0.05 were considered significant.
Results
Homogeneity of the fecal bacteria liquid fed to mice
Two fecal bacteria tubes were randomly selected from the prepared fecal bacteria liquid of KNGT to determine the microbiota. No significant difference in 16S rRNA sequences between the two samples was found (Fig. 1). The relative abundances of Desulfovibrio, Clostridium, and A. muciniphila in the fecal sample of the KNGT were 1.654%, 3.562%, and 0.382%, respectively.
Fig. 1. Prepared feces from the donors were divided into several 5-mL cryopreservation tubes and fed to the db/db mice one tube per day.
Two tubes were randomly selected to determine the consistency of the composition of the daily administered fecal bacteria. HZR1: fecal bacteria of KNGT tube #1; HZR2: fecal bacteria of KNGT tube #2.
"VSports在线直播" Fecal bacteria from KNGT successfully colonized the intestinal tract of db/db mice
Fluorescence microscopy of fecal bacteria from KNGT showed red fluorescent signals (Fig. 2a), indicating that the fecal bacteria were successfully labeled by the fluorescent dye CM-DiI. Fluorescent signals were observed in feces collected from mice on day 14 after intragastric administration (Fig. 2b). These results suggest that the fecal bacteria from KNGT successfully colonized the intestinal tract of db/db mice.
Fig. 2. Staining of live bacteria in fecal samples from KNGT and mice.
a Fecal bacteria from KNGT. b Fecal bacteria from the intestinal tracts of mice, indicating colonization of KNGT bacteria on day 14.
"V体育安卓版" Changes in the phenotypic parameters of db/db mice
Fecal bacteria of KNGT inhibit increases in blood glucose levels in db/db mice
Blood samples collected from db/db mice after FMT showed that treatment with fecal bacteria from KNGT significantly lowered plasma PPG (Fig. 3a) and FBG (Fig. 3b) levels in db/db mice from week 4. These results strongly suggest that fecal bacteria from KNGT can inhibit increases in blood glucose levels in db/db mice.
Fig. 3. Changes in body weight and plasma glycolipid levels in db/db mice treated with fecal bacteria from KNGT.
PPG (a), FBG (b), TC (c), TG (d), HDL–c (g), LDL–c (h), and body weight (k) in mice treated with KNGT. Area under the blood lipid-time curve (AUC) of TC (e), TG (f), HDL–c (i), and LDL–c (j) in mice treated with KNGT for 10 weeks. Differences between the groups were analyzed by using one-way ANOVA. **P < 0.01, ***P < 0.001 compared with the db/m + PBS mice. #P < 0.05, ##P < 0.01, ###P < 0.001 compared with the db/db + PBS mice.
Fecal bacteria from KNGT regulate blood lipid levels in db/db mice
The TC and TG levels (Fig. 3c, d) in db/db + KNGT mice were markedly lower compared with the levels in the db/db + PBS mice 6 weeks after FMT, although both the TC and TG levels were much higher in the db/db + PBS compared with levels in the db/m + PBS mice. Consistent with the TC and TG levels, the TC and TG AUCs were significantly decreased (Fig. 3e, f) in the db/db + KNGT mice. The HDL–c levels in the db/db + KNGT mice were markedly higher compared with those in the db/db + PBS mice (Fig. 3g), and the LDL–c levels were significantly lower (Fig. 3h). The AUC of HDL–c was significantly increased (Fig. 3i) and the AUC of LDL–c was significantly decreased in the db/db + KNGT (Fig. 3j). However, we did not observe any significant change in body weight in the db/db + KNGT mice compared with that of the db/db + PBS mice during the 10 weeks (Fig. 3k).
Changes in the intestinal microbiome in db/db mice treated with fecal bacteria from KNGT
Richness and composition of the intestinal microbiome
The two α-diversity indexes, chao and ace, were used to estimate OTU richness. The indexes of db/db + PBS mice were significantly lower compared with those of db/m + PBS mice (chao: P = 0.013; ace: P = 0.008). The indexes increased slightly but not significantly after db/db mice were treated with fecal bacteria from KNGT, suggesting that FMT of KNGT may help increase or recover the species richness in db/db mice (Fig. 4a, b).
Fig. 4.
Total OTU richness was evaluated by chao (a) or ace (b). The results were analyzed by using one-way ANOVA. *P < 0.05, **P < 0.01 compared with the db/m + PBS mice. Relative abundance ratio of the intestinal microbiome at the species (c) and genus (d) levels. Data are presented as the percentage of species, and the results were obtained by using the Kruskal–Wallis test. The same color in m6, D6, and H6 represents the same species. m6: db/m + PBS; D6: db/db + PBS; H6: db/db + KNGT. Mice were tested at 6 weeks.
The identified OTUs were further classified by using the database of species (http://greengenes.secondgenome.com/). Compared with the db/m + PBS mice, the relative abundances of Helicobacter_hepaticus, Escherichia_coli, Bacteroides_acidifaciens, Butyricicoccus_pullicaecorum, Escherichia, Odoribacter, and Butyricicoccus were higher in the db/db + PBS mice. Their false-discovery rates (FDRs) were 0.035, 0.134, 0.134, 0.134, 0.136, 0.136, and 0.161, respectively. These bacteria were downregulated 6 weeks after FMT treatment in the db/db mice. The FDRs were 0.969, 0.755, 1, 0.755, 0.876, 0.994, and 0.876, respectively. Compared with the db/m + PBS mice, the relative abundances of Sutterella and Paraprevotella were decreased in the db/db + PBS mice (with FDRs of 0.094 and 0.161, respectively) and upregulated after FMT treatment for 6 weeks (with FDRs of 0.994 and 0.994, respectively). These results suggest that fecal bacteria from KNGT can improve the composition of the intestinal microbiome in db/db mice (Fig. 4c, d).
β-diversity analysis showed some differences between db/m + PBS and db/db + PBS samples in species composition and species abundance. However, there was little difference in species composition and species abundance between samples of db/db + PBS and db/db + KNGT mice.
FMT changes the number of intestinal target bacteria in mice
Three bacterial species that correlate with diabetic risk factors (Desulfovibrio, C. coccoides, and A. muciniphila) were chosen as the target bacteria to further understand the effect of FMT from KNGT on the intestinal microbiome of db/db mice. RT-PCR analysis of these three species showed that the levels of Desulfovibrio (Fig. 5a) and C. coccoides (Fig. 5b) in the feces of the db/db + PBS mice were higher compared to levels in the db/m + PBS mice, while A. muciniphila (Fig. 5c) was lower. Compared with the db/db + PBS mice, the levels of Desulfovibrio (P = 0.027) and C. coccoides (P = 0.005) in the db/db + KNGT mice were significantly lower 4 weeks following FMT, and the level of A. muciniphila was significantly higher 6 weeks following FMT (P = 0.008).
Fig. 5. Quantification of intestinal target bacteria in mice.

SQ represents the starting template quantity of Desulfovibrio (a), Clostridium coccoides (b), and Akkermansia muciniphila (c) at different time points. The results were analyzed by using one-way ANOVA. *P < 0.05, **P < 0.01, ***P < 0.001 compared with db/m + PBS mice. #P < 0.05, ##P < 0.01 compared with db/db + PBS mice.
HDAC3 expression is upregulated in the db/db + KNGT mice
Western blot analysis showed that HDAC3 expression was decreased in the colonic samples of db/db + PBS mice compared with expression in db/m + PBS mice. FMT treatment for 8 weeks recovered the HDAC3 expression level of db/db mice to a level similar to that of the db/m mice (Fig. 6).
Fig. 6. HDAC3 protein expression in mouse colonic samples.

Total protein was extracted from mouse colon specimens at different time points (a: 0 weeks, b: 8 weeks), and the levels of HDAC3 were analyzed by using Western blot. The signal intensity was quantified by using densitometry and is expressed relative to β-actin expression (c). Values are the mean ± S.D. *P < 0.05 compared with db/m + PBS mice. #P < 0.05 compared with db/db + PBS mice.
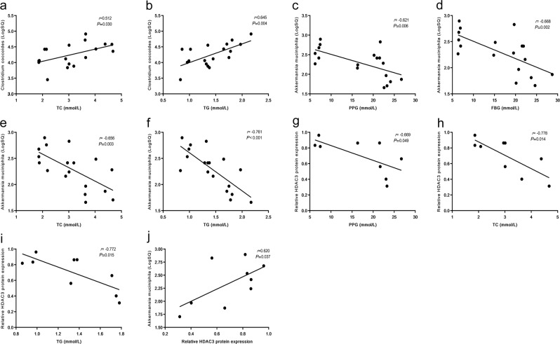
Correlation analysis (V体育平台登录)
Pearson correlation analysis between target bacteria and glycolipid metabolism at 8 weeks showed that the level of C. coccoides was positively correlated with TC and TG levels (r = 0.512, P = 0.030; r = 0.645, P = 0.004, respectively) (Fig. 7a, b). The level of A. muciniphila was negatively correlated with PPG, FBG, TC, and TG levels (r = −0.621, P = 0.006; r = −0.668, P = 0.002; r = −0.656, P = 0.003; r = −0.761, P < 0.001, respectively) (Fig. 7c–f).
Fig. 7.
Correlation between intestinal target bacteria and glycolipid metabolism parameters in db/db mice treated with fecal bacteria from KNGT on week 8 (a–f). Correlation between HDAC3 expression and glycolipid metabolism parameters (g–i). Correlation analysis between intestinal target bacteria and HDAC3 expression (j). The results were analyzed by using Pearson’s correlation analysis. P values < 0.05 were considered significant.
Pearson correlation analysis between HDAC3 expression and glycolipid metabolism at 8 weeks showed that the expression of HDAC3 was negatively correlated with PPG, TC, and TG levels (r = −0.669, P = 0.049; r = −0.778, P = 0.014; r = −0.772, P = 0.015, respectively) (Fig. 7g–i).
Correlation analysis between target bacteria and HDAC3 at 8 weeks showed that the level of A. muciniphila was positively correlated with HDAC3 expression (r = 0.620, P = 0.037) (Fig. 7j).
Discussion
Genetic and environmental factors can lead to T2DM. Changes in the intestinal microbiome composition attributed to age and diet are also an important factor that can induce diabetes [28]. Our previous study showed that the prevalence of T2DM in Kazaks was 1.56%, which was lower than that of other ethnic groups [29]. Therefore, we hypothesized that db/db mice given fecal symbiotic bacteria solution of KNGT by intragastric administration (FMT of KNGT) could improve the symptoms of diabetes. The core flora will be further explored to provide a new target for the treatment of diabetes.
In this study, 16S rRNA gene sequencing showed that the composition of the intestinal microbiome changed and that the microbiome richness decreased significantly in the db/db mice compared with that of the db/m mice. The species abundance was also different between db/m + PBS and db/db + PBS samples. However, the α- and β-diversity analysis showed little difference after FMT from KNGT. We speculate that this was likely caused by the small sample size.
Desulfovibrio spp. are the dominant bacteria of the sulfate-reducing bacteria in the human colon and can promote interleukin-6 (IL-6) and IL-8 secretion and induce an inflammatory response [30], which may be related to the chronic low-grade inflammation of T2DM. Desulfovibrio increased in the intestinal tracts of mice with impaired glucose tolerance, especially in mice fed a high-calorie diet [31]. C. coccoides is the main community of Firmicutes. Most of the bacteria in this group can help the host absorb energy from the diet, increasing the occurrence of metabolic diseases, such as obesity and diabetes [32]. Obesity and type 2 diabetes are also associated with circulating insulin and glucose levels. A study in humans found that the abundance of C. coccoides in feces samples negatively correlated with insulin levels [33]. A higher abundance of C. coccoides causes lower insulin levels, which may lead to higher FBG and therefore increase the risk of obesity and diabetes [32, 33].
RT-PCR based on the 16S rRNA gene was performed to further accurately analyze the target bacteria. The results showed that the levels of Desulfovibrio and C. coccoides in the feces of the db/db mice were higher than those of the db/m mice, and the levels were significantly reduced when the db/db mice were treated with fecal bacteria from KNGT. Our results also showed a positive correlation between the level of C. coccoides and glycolipid levels in mice, suggesting that C. coccoides may be a primary cause of obesity in diabetic mice.
It has been reported that the level of A. muciniphila negatively correlates with the levels of diabetic risk factors, such as blood glucose and TG [34]. The number of A. muciniphila decreases in T2DM mice. However, this decrease could be restored by probiotic therapy [35]. In this study, the level of A. muciniphila was lower in the feces of db/db mice compared with the level in the db/m mice, and the level significantly increased in db/db mice when treated with fecal bacteria from KNGT, which is consistent with previous studies. Moreover, there was a significant negative correlation between A. muciniphila and glycolipid levels in mice, suggesting that A. muciniphila is the main intestinal probiotic that improves metabolism in diabetes.
HDAC3 is one of the four members of the human class I histone deacetylases that regulate gene expression by deacetylating histones. A. muciniphila leads to increased expression of HDAC3 [11], which can activate brown fat cells to burn sugar and fat, thereby increasing metabolism and allowing animals to lose weight and counteract diabetes [36]. In this study, the results showed that the level of A. muciniphila was increased, and that HDAC3 protein expression was upregulated in db/db mice treated with FMT from KNGT. We also showed that HDAC3 upregulation correlated with glycolipid metabolism. Our study suggests that A. muciniphila may affect the metabolism of the animal by regulating HDAC3 expression.
FMT has been recognized as a common and effective strategy to change the composition of the intestinal microbiome. It has been demonstrated that intragastric administration of Prevotella copri induces insulin resistance and aggravates glucose intolerance in mice [37]. FBG levels were significantly reduced in diabetic patients treated with complex probiotics [38]. Probiotic supplementation also improves glucose tolerance and decreases fat content [39].
In conclusion, our study demonstrates that FMT from individuals with NGT significantly improves the intestinal microbiome composition and reduces plasma glycolipid levels in db/db mice. Specifically, we found an increase in the level of A. muciniphila, which correlated with HDAC3 expression. Our study suggests that fecal bacteria from KNGT could be used as a potential source for FMT to treat T2DM patients.
Acknowledgements
This work was supported by the National Natural Science Foundation of China (grant No. 81360504) and the NSFC–Xinjiang Joint Fund (U1403322) for Excellent Young Scholars. We also thank the Kazaks donor for contributing to this study and the Experimental Animal Center of Xinjiang Medical University for their kindly assistance.
Author contributions
YW, LLL, and PPZ designed the study. PPZ, XH, QWL, and XHZ conducted the studies. PPZ analyzed the data. PPZ, JJL, YW, and LLL wrote the paper.
Competing interests
The authors declare no competing interests.
Footnotes
These authors contributed equally: Pei-pei Zhang, Lin-lin Li
"VSports" References
- 1.International Diabetes Federation. IDF diabetes atlas 2015. 7th edn. Brussels, Belgium: International Diabetes Federation; 2015.
- 2.Chinese Diabetes Society. Guidelines for the prevention and treatment of type 2 diabetes in china (2013 edition) (in Chinese) Chin J Endocrinol Metab. 2014;30:893–942. [Google Scholar (V体育2025版)]
- 3.Liljedahl L, Norlin J, McGuire JN, James P. Effects of insulin and the glucagon‐like peptide 1 receptor agonist liraglutide on the kidney proteome in db/db mice. Physiol Rep. 2017;5:e13187. doi: 10.14814/phy2.13187. [DOI (VSports注册入口)] [PMC free article] [PubMed] [Google Scholar]
- 4.Wang Y, Luo X, Mao XM, Tao YC, Ran XJ, Zhao HX, et al. Gut microbiome analysis of type 2 diabetic patients from the Chinese minority ethnic groups the Uygurs and Kazaks. PLoS ONE. 2017;12:e0172774. doi: 10.1371/journal.pone.0172774. ["VSports注册入口" DOI] [PMC free article] [PubMed] [Google Scholar]
- 5.Hu SS. The function and mechanism of the key bacteria isolated from Kazaks and Uygurs in Xinjiang with type 2 diabetes leads to diabetes in mice [dissertation]. Urumqi (China): Xinjiang Med Univ; 2016. p.1–30.
- 6.Qin JJ, Li YR, Cai ZM, Li SH, Zhu JF, Zhang F, et al. A metagenome-wide association study of gut microbiota in type 2 diabetes. Nature. 2012;490:55–60. doi: 10.1038/nature11450. [DOI] [PubMed] [Google Scholar]
- 7.Zhang KN, Long M, Ran XJ, Yang Y, Tong L, Li QC, et al. Effect of alcohol extract of coreopsis tinctoria nutt on intestinal flora in type 2 diabetic mice. Acta Lab Animalis Sci Sin. 2015;23:628–33. ["V体育平台登录" Google Scholar]
- 8.Hartstra AV, Bouter KE, Backhed F, Nieuwdorp M. Insights into the role of the microbiome in obesity and type 2 diabetes. Diabetes Care. 2015;38:159–65. doi: 10.2337/dc14-0769. [DOI] [PubMed] [Google Scholar]
- 9.Alenghat T, Osborne LC, Saenz SA, Kobuley D, Ziegler CGK, Mullican SE, et al. Histone deacetylase 3 coordinates commensal-bacteria-dependent intestinal homeostasis. Nature. 2013;504:153–7. doi: 10.1038/nature12687. [DOI] [PMC free article] [PubMed] [Google Scholar]
- 10.Lukovac S, Belzer C, Pellis L, Keijser BJ, de Vos WM, Montijn RC, et al. Differential modulation by Akkermansia muciniphila and Faecalibacterium prausnitzii of host peripheral lipid metabolism and histone acetylation in mouse gut organoids. Mbio. 2014;5:91–7. doi: 10.1128/mBio.01438-14. [DOI] [PMC free article] [PubMed] [Google Scholar]
- 11.Hong SG, Zhou WJ, Fang B, Lu WY, Loro E, Damle M, et al. Dissociation of muscle insulin sensitivity from exercise endurance in mice by HDAC3 depletion. Nat Med. 2016;23:223–34. doi: 10.1038/nm.4245. [DOI (V体育ios版)] [PMC free article] [PubMed] [Google Scholar]
- 12.He CX, Shan YJ, Song W. Targeting gut microbiota as a possible therapy for diabetes. Nutr Res. 2015;35:361–7. doi: 10.1016/j.nutres.2015.03.002. [DOI] [PubMed] [Google Scholar]
- 13.Groen AK, Nieuwdorp M. An evaluation of the therapeutic potential of fecal microbiota transplantation to treat infectious and metabolic diseases. EMBO Mol Med. 2017;9:1–3. doi: 10.15252/emmm.201607035. [DOI] [PMC free article] [PubMed] [Google Scholar]
- 14.Shaukat A, Reinink AR. Fecal microbiota transplantation in Clostridium difficile infection: evidence and indications. Am Fam Physician. 2017;95:351–2. ["VSports手机版" PubMed] [Google Scholar]
- 15.Vrieze A, Van Nood E, Holleman F, Salojarvi J, Kootte RS, Bartelsman JF, et al. Transfer of intestinal microbiota from lean donors increases insulin sensitivity in individuals with metabolic syndrome. Gastroenterology. 2012;143:913–6.e7. doi: 10.1053/j.gastro.2012.06.031. [DOI] [PubMed] [Google Scholar]
- 16.Association AD. Standards of medical care in diabetes. Diabetes Care. 2005;28(Suppl 1):S4–S36. doi: 10.2337/diacare.28.suppl_1.S4. [V体育官网入口 - DOI] [PubMed] [Google Scholar]
- 17.Chinese Diabetes Society. Recommendations for lower diagnostic cut-off point of impaired fasting glucose (in Chinese) Natl Med J Chin. 2005;85:1947–50. [Google Scholar]
- 18.Smits LP, Bouter KEC, De Vos WM, Borody TJ, Nieuwdorp M. Therapeutic potential of fecal microbiota transplantation. Gastroenterology. 2013;145:946–53. doi: 10.1053/j.gastro.2013.08.058. [DOI (VSports手机版)] [PubMed] [Google Scholar]
- 19.Van Nood E, Vrieze A, Nieuwdorp M, Fuentes S, Zoetendal EG, De Vos WM, et al. Duodenal infusion of donor feces for recurrent Clostridium difficile. N Engl J Med. 2013;368:407–15. doi: 10.1056/NEJMoa1205037. [DOI] [PubMed] [Google Scholar]
- 20.Bakken JS, Borody T, Brandt LJ, Brill JV, Demarco DC, Franzos MA, et al. Treating Clostridium difficile infection with fecal microbiota transplantation. Clin Gastroenterol Hepatol. 2011;9:1044–9. doi: 10.1016/j.cgh.2011.08.014. [DOI] [PMC free article] [PubMed] [Google Scholar]
- 21.Cammarota G, Ianiro G, Tilg H, Rajilic-Stojanovic M, Kump P, Satokari R, et al. European consensus conference on faecal microbiota transplantation in clinical practice. Gut. 2017;66:569–80. doi: 10.1136/gutjnl-2016-313017. [DOI] [PMC free article] [PubMed] [Google Scholar]
- 22.Zhang FM, Long CY, Li P. The holistic integrative view on the system of fecal microbiota transplantation (in Chinese) Chin Bull Life Sci. 2017;29:2–9. [Google Scholar]
- 23.Obesity S. Obesity: preventing and managing the global epidemic. Report of a WHO consultation. World Health Organ Tech Rep Ser. 2000;894:1–253. [PubMed (VSports注册入口)] [Google Scholar]
- 24.Hamilton MJ, Weingarden AR, Sadowsky MJ, Khoruts A. Standardized frozen preparation for transplantation of fecal microbiota for recurrent Clostridium difficile infection. Am J Gastroenterol. 2012;107:761–7. doi: 10.1038/ajg.2011.482. [VSports在线直播 - DOI] [PubMed] [Google Scholar]
- 25.Feng YQ, Wang DC, Wang K, Leng XF, Xiao H, Guo DF. Role of lymphatics in bacterial translocation from intestine in burn rats. Zhonghua Shao Shang Za Zhi. 2011;27:49–53. [PubMed] [Google Scholar]
- 26.Lott JA, Turner K. Evaluation of Trinder’s glucose oxidase method for measuring glucose in serum and urine. Clin Chem. 1975;21:1754–60. doi: 10.1093/clinchem/21.12.1754. ["VSports最新版本" DOI] [PubMed] [Google Scholar]
- 27.Claesson MJ, O’Sullivan O, Wang Q, Nikkilä J, Marchesi JR, Smidt H, et al. Comparative analysis of pyrosequencing and a phylogenetic microarray for exploring microbial community structures in the human distal intestine. PLoS ONE. 2009;4:e6669. doi: 10.1371/journal.pone.0006669. [DOI] [PMC free article] [PubMed] [Google Scholar]
- 28.Zhao LP, Shen J. Whole-body systems approaches for gut microbiota-targeted, preventive healthcare. J Biotechnol. 2010;149:183–90. doi: 10.1016/j.jbiotec.2010.02.008. [DOI] [PubMed] [Google Scholar]
- 29.Tao YC, Mao XM, Xie ZJ, Ran XJ, Liu XY, Wang Y, et al. The prevalence of type 2 diabetes and hypertension in Uygur and Kazak populations. Cardiovasc Toxicol. 2008;8:155–9. doi: 10.1007/s12012-008-9024-0. [DOI (V体育2025版)] [PubMed] [Google Scholar]
- 30.Bisson-Boutelliez C, Massin F, Dumas D, Miller N, Lozniewski A. Desulfovibrio spp. survive within KB cells and modulate inflammatory responses. Mol Oral Microbiol. 2010;25:226–35. doi: 10.1111/j.2041-1014.2009.00550.x. [DOI] [PubMed] [Google Scholar]
- 31.Zhang CH, Zhang MH, Wang SY, Han RJ, Cao YF, Hua WY, et al. Interactions between gut microbiota, host genetics and diet relevant to development of metabolic syndromes in mice. ISME J. 2010;4:232–41. doi: 10.1038/ismej.2009.112. [DOI] [PubMed] [Google Scholar]
- 32.Turnbaugh PJ, Ley RE, Mahowald MA, Magrini V, Mardis ER, Gordon JI. An obesity-associated gut microbiome with increased capacity for energy harvest. Nature. 2006;444:1027–31. doi: 10.1038/nature05414. [DOI] [PubMed] [Google Scholar]
- 33.F.S.T T, Grześkowiak ŁM, Salminen S, Laitinen K, Bressan J, Gouveia Peluzio Mdo C. Fecal levels of Bifidobacterium and Clostridium coccoides but not plasma lipopolysaccharide are inversely related to insulin and HOMA index in women. Clin Nutr. 2013;32:1017–22. doi: 10.1016/j.clnu.2013.02.008. [DOI] [PubMed] [Google Scholar]
- 34.Hooper LV, Littman DR, Macpherson AJ. Interactions between the microbiota and the immune system. Science. 2012;336:1268–73. doi: 10.1126/science.1223490. [VSports手机版 - DOI] [PMC free article] [PubMed] [Google Scholar]
- 35.Everard A, Belzer C, Geurts L, Ouwerkerk JP, Druart C, Bindels LB, et al. Bindels LB, et al. Cross-talk between Akkermansia muciniphila and intestinal epithelium controls diet-induced obesity. Proc Natl Acad Sci U S A. 2013;110:9066–71. doi: 10.1073/pnas.1219451110. [DOI] [PMC free article] [PubMed] [Google Scholar]
- 36.Emmett MJ, Lim HW, Jager J, Richter HJ, Adlanmerini M, Peed LC, et al. Histone deacetylase 3 prepares brown adipose tissue for acute thermogenic challenge. Nature. 2017;546:544–8. doi: 10.1038/nature22819. [DOI] [PMC free article] [PubMed] [Google Scholar]
- 37.Pedersen HK, Gudmundsdottir V, Nielsen HB, Hyotylainen T, Nielsen T, Jensen BAH, et al. Human gut microbes impact host serum metabolome and insulin sensitivity. Nature. 2016;535:376–81. doi: 10.1038/nature18646. [DOI] [PubMed] [Google Scholar]
- 38.Asemi Z, Zare Z, Shakeri H, Sabihi SS, Esmaillzadeh A. Effect of multispecies probiotic supplements on metabolic profiles, hs-CRP, and oxidative stress in patients with type 2 diabetes. Ann Nutr Metab. 2013;63:1–9. doi: 10.1159/000349922. [DOI] [PubMed] [Google Scholar]
- 39.Everard A, Lazarevic V, Derrien M, Girard M, Muccioli GM, Neyrinck AM, et al. Responses of gut microbiota and glucose and lipid metabolism to prebiotics in genetic obese and diet-induced leptin-resistant mice. Diabetes. 2011;60:2775–86. doi: 10.2337/db11-0227. [DOI] [PMC free article] [PubMed] [Google Scholar]
- 40.Rowan F, Docherty NG, Murphy M, Murphy B, Calvin Coffey J, O’Connell PR. Desulfovibrio bacterial species are increased in ulcerative colitis. Dis Colon Rectum. 2010;53:1530–6. doi: 10.1007/DCR.0b013e3181f1e620. ["VSports手机版" DOI] [PubMed] [Google Scholar]
- 41.Seregin SS, Golovchenko N, Schaf B, Chen J, Pudlo NA, Mitchell J, et al. NLRP6 protects IL10−/− mice from colitis by limiting colonization of Akkermansia muciniphila. Cell Rep. 2017;19:733–45. doi: 10.1016/j.celrep.2017.03.080. [DOI] [PMC free article] [PubMed] [Google Scholar]





