Unrelated cord blood transplantation for adult patients with acute myeloid leukemia: higher incidence of acute graft-versus-host disease and lower survival in male patients transplanted with female unrelated cord blood--a report from Eurocord, the Acute Leukemia Working Party, and the Cord Blood Committee of the Cellular Therapy and Immunobiology Working Party of the European Group for Blood and Marrow Transplantation
- PMID: 26445106
- PMCID: "V体育ios版" PMC4594748
- DOI: 10.1186/s13045-015-0207-4
Unrelated cord blood transplantation for adult patients with acute myeloid leukemia: higher incidence of acute graft-versus-host disease and lower survival in male patients transplanted with female unrelated cord blood--a report from Eurocord, the Acute Leukemia Working Party, and the Cord Blood Committee of the Cellular Therapy and Immunobiology Working Party of the European Group for Blood and Marrow Transplantation
Abstract
Background: In the setting of allogeneic human leukocyte antigen (HLA)-matched bone marrow transplantation, transplanting male patients with grafts from female donors has been associated with a higher incidence of graft-versus-host disease (GVHD) and of nonrelapse mortality (NRM). The aim of the current analysis was to compare transplantation outcomes in male patients given female unrelated cord blood (UCB) versus other gender combinations VSports手机版. .
Patients and methods: Data from 552 consecutive patients with acute myeloid leukemia (AML) given a single UCB transplantation between 2000 and 2014 were included. V体育安卓版.
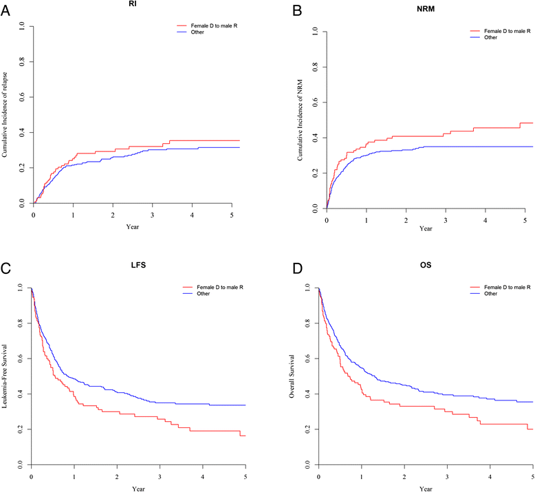
Results: In comparison with other gender combination, male patients given female UCB (n = 131) had a trend for a higher incidence of grades II-IV acute GVHD (33 versus 25 %, P = 0. 08), a trend for a higher incidence of NRM (41 versus 33 %, P = 0. 06), and a lower leukemia-free (LFS, 30 versus 41 %, P = 0. 01) and overall survival (OS, 33 versus 45 %, P = 0. 008). In multivariate analyses, taking into consideration all patients for which data on HLA-matching and cell dose transplanted were fully available (n = 363), male patients transplanted with a female UCB had a trend for a higher incidence of grade III-IV acute GVHD (hazard ratio (HR) = 2. 0, P = 0. 06), a trend for a higher NRM (HR = 1. 5, P = 0 V体育ios版. 06), and a worse LFS (HR = 1. 4, P = 0. 04) and OS (HR = 1. 3, P = 0. 06). .
Conclusions: Our data suggest that male patients transplanted with female UCB might have higher risk of acute GVHD and of NRM leading to worse LFS and OS VSports最新版本. These results should be confirmed in other large cohorts of patients before used for determining the choice of an UCB unit. .
Figures
References (V体育官网入口)
-
- Dohner H, Estey EH, Amadori S, Appelbaum FR, Buchner T, Burnett AK, Dombret H, Fenaux P, Grimwade D, Larson RA, et al. Diagnosis and management of acute myeloid leukemia in adults: recommendations from an international expert panel, on behalf of the European LeukemiaNet. Blood. 2010;115:453–474. doi: 10.1182/blood-2009-07-235358. - DOI - PubMed
-
- Liu H, Zhai X, Song Z, Sun J, Xiao Y, Nie D, Zhang Y, Huang F, Zhou H, Fan Z, et al. Busulfan plus fludarabine as a myeloablative conditioning regimen compared with busulfan plus cyclophosphamide for acute myeloid leukemia in first complete remission undergoing allogeneic hematopoietic stem cell transplantation: a prospective and multicenter study. Journal of Hematology and Oncology. 2013;6:15. doi: 10.1186/1756-8722-6-15. - DOI - PMC - PubMed
-
- Weisdorf D, Eapen M, Ruggeri A, Zhang MJ, Zhong X, Brunstein C, Ustun C, Rocha V, Gluckman E. Alternative donor transplantation for older patients with acute myeloid leukemia in first complete remission: a center for international blood and marrow transplant research-eurocord analysis. Biology of Blood and Marrow Transplantation. 2014;20:816–822. doi: 10.1016/j.bbmt.2014.02.020. - DOI - PMC - PubMed
-
- Ruggeri A, Sanz G, Bittencourt H, Sanz J, Rambaldi A, Volt F, Yakoub-Agha I, Ribera JM, Mannone L, Sierra J, et al. Comparison of outcomes after single or double cord blood transplantation in adults with acute leukemia using different types of myeloablative conditioning regimen, a retrospective study on behalf of Eurocord and the Acute Leukemia Working Party of EBMT. Leukemia. 2014;28:779–786. doi: 10.1038/leu.2013.259. - "V体育官网" DOI - PubMed
-
- Passweg JR, Baldomero H, Bader P, Bonini C, Cesaro S, Dreger P, Duarte RF, Dufour C, Falkenburg JH, Farge-Bancel D, et al. Hematopoietic SCT in Europe 2013: recent trends in the use of alternative donors showing more haploidentical donors but fewer cord blood transplants. Bone Marrow Transplant. 2015;50(4):476–82. doi: 10.1038/bmt.2014.312. - DOI (V体育官网入口) - PMC - PubMed
Publication types
- "V体育2025版" Actions
"VSports" MeSH terms
- Actions (V体育安卓版)
- V体育平台登录 - Actions
- "V体育官网" Actions
- "VSports app下载" Actions
- Actions (VSports最新版本)
- Actions (V体育平台登录)
- Actions (V体育官网)
- V体育平台登录 - Actions
- Actions (V体育官网入口)
- Actions (VSports手机版)
- "VSports" Actions
- "VSports app下载" Actions
- V体育平台登录 - Actions
LinkOut - more resources
Full Text Sources
Other Literature Sources
Medical
Research Materials
